淺談調節閥的安裝與調試
一、引言
調節閥是工業生產中非常常用和特別重要的控制設備,它工作正常與否直接關系到整個裝置的生產,尤其是化工行業表現得尤為突出。目前,隨著調節閥技術的日新月異,調節閥的形式、品種繁多,功能各異。不同形式、不同功能的調節閥安裝、調校的方式與關鍵控制點都各不相同,本文就現代化生產上常用的調節閥的安裝、調校做一簡析。
二、調節閥的安裝
調節閥的正確安裝非常重要,安裝的好壞是關系到操作性能、安全程度、成本高低的頭等大事。調節閥必須嚴格按照工藝及控制系統要求進行安裝,一旦閥門產生故障將導致火災、爆炸、中毒等嚴重事故和人身傷害,后果是相當嚴重的?,F以氣動閥為安裝實例,介紹安裝程序及要點:
1、安裝前檢驗
調節閥安裝前,進貨檢驗是一個非常重要的環節,以確認調節閥到貨情況是否滿足設計、工藝和規范要求。進貨檢驗著重以下兒項內容:
(1)閥休、閥內件規格檢驗:閥型號、閥形式、公稱直徑、閥座尺寸、閥芯型式、閥體材質、閥芯材質、閥座材質、流量特性、泄漏等級、Cv值、法蘭標準等級尺寸及密封型式等指標,只要其中一項內容不合要求均應征得設計的確認。
(2)執行機構檢驗:執行機構型號、型式、作用方式、彈簧范圍、供氣壓力等。
(3)定位器檢驗:定位器的輸入信號、氣源壓力、防爆等級、電氣和氣源接口尺寸等,其中,防爆等級不得低于設計等級。
(4)附件檢驗:根據調節閥的設計技術要求仔細清理各項附件,如過濾減壓閥、閥位開關、電磁閥、手輪機構、專用工具等。
以上各項內容的檢驗可以通過視覺、清理、計量器具、查看銘牌以及專用檢測手段(如法蘭及螺栓材質可通過光潛分析來鑒別)等方法來實現。
2、安裝原則
(1)氣動調節閥安裝位置,距地面要有一定高度,閥的上、下要留有一定的空間,以便進行閥的拆卸和修理。對于裝有氣動閥門定位器和手輪的調節閥,必須保證操作、觀察和調整方便。
(2)調節閥應安裝在水平管道,相對于管道上、下垂直,一般要在閥的下端加支撐,保證穩定可靠。對于特殊場合,需要調節閥水平安裝在豎直的管道上時,也應將閥體進行支撐。安裝時,要避免給調節閥帶來附加應力,如管道與閥體不同心或法蘭不平行等。
(3)調節閥前后位置應有直管段,直管段長度不小于10倍的管道直徑(10D),以避免閥的直管段太短而影響流量特性。
(4)調節閥的口徑與工藝管道不同時,應采用異徑管連接。小口徑調節閥安裝時,可采用螺紋連接。閥體上流體方向箭頭與流體方向一至。
(5)閥要加旁通管道,目的是便于切換或手動操作,可在不停車情況下對調節閥進行維護或檢修。
(6)一般調節閥工作環境溫度在-30~+60℃,相對濕度不大于95%.所以,安裝時應注意離開高、低溫輻射源(高、低溫管道,加熱爐等)。因調節閥的薄膜和密封環等橡膠制品零件,在低溫時易硬化變脆、高溫時易老化。
(7)調節閥在安裝前要徹底清除管道內異物,如污垢、焊渣等。安裝后用常溫水進行試驗,實驗時應將閥全部打開或旁通閥打開。試運行時應注意閥體與管道連接處的密封性能。
3、安裝形式及方位

圖 1 調節閥安裝位置比較圖
調節閥的安裝通常情況下有一個調節閥組,即,上游閥、旁路閥、下游閥和調節閥。圖 1 給出了調節閥常用的六種組合形式,并對各自的特點進行了說明。
應注意的是切斷閥(上游閥、下游閥)和旁路閥的安裝要靠近三通,以減小死角。
通常調節閥要求垂直安裝。在滿足不了垂直安裝時,對法蘭用四個螺栓固定的調節閥可以有向上傾斜 45 度、向下傾斜 45 度、水平安裝和向下垂直安裝四個位置。對法蘭用 8 個螺栓固定的調節閥則可以有 9 個安裝位置,分別相隔 22.5 度。
在這些安裝位置中,最理想的是垂直向上安裝,應該優先選擇;向上傾斜的位置為其次(依次是:22.5 度、45 度、67.5 度);向下垂直安裝為再次位置;最差的位置是水平安裝,它與接近水平安裝的向下傾斜 67.5 度,此位置一般不采納。
三、調節閥的調校
新安裝的氣動調節閥安裝之前應進行單體調校,調校應達到的性能指標為:
基本誤差:±1.5%;回程誤差:1.5%;不靈敏區:0.6%。
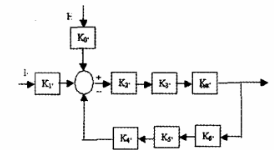
閥門定位器作為氣動調節閥的工具,對調節閥的使用起著決定性作用,定位器調校質量的好壞直接影響調節閥的使用。閥門定位器與閥門配套使用,組成一個閉環控制系統。該系統主要由磁電組件、零位彈簧、擋板、氣動功率放大器、調節閥、反饋杠桿、量程調節機構、反饋彈簧等組成。其系統方框圖如圖 2 所示圖中。

圖 2 系統框圖
圖中:K0——零位彈簧彈性系數;K4——反饋彈簧彈性系數;K1, K2, K3, K5, K6, Kv——磁電組件、擋板、放大器、量程調整機構、反饋杠桿、調節閥的放大系數。
由圖(1)可得出該系統的數學模型:
設:令 Kc=K2*K3*Kv——(1)
Kf=K4*K5*K6——(2)
則有
L=Kc(K0*H+K1*I)/(1+Kc*Kf)=[Kg*K1/(1+Kg*Kf)]*I+Kc*K0*H/(l+Kc*Kf)——(3)
式中
I——輸入電流
H——調零彈簧長度
L——的行程
Kg——輸入電流所產生的電磁力矩
Kf——反彈黃所產生的反饋力矩
Kc——零位彈簧所產生的調零點力矩
根據式(3)可得出定位器的調零模型:Kc*K0*H/(1+Kg*Kf)
生產中常用的調校原理和方法是:將式(l),式(2)代入(3)式得行程模型為:
L=K2*K3*Kv*(K0*H+K1*I)/(1+K2*K3*K4*K5*K6*Kv)——(4)
調校步驟是:
(1)是閥桿位于行程中點,調整定位器與反饋杠桿成 90 度角,并將螺釘固定;
(2)將零點、量程分別置于中間位置;
(3)輸入4mA.DC信號,使調節閥開始動作,調節零點,使零點達到要求;
(4)輸入20mA.DC信號,看其行程是否達到要求,若沒達到,則調量程,使其達到要求;
由(3)、(4)可知,調零點可改變 H,調量程又會影響零點,所以,調零點和調量程是相互作用相互影響的。因此,此種方法有時很難校準定位器,這是因為:一般情況下,零位彈簧工作在現行區域,其長度變化范圍有限,調最程機構的空間位置受到限制,所以,調零彈簧長度和量程調整機構的放大系數值也將會受到限制。此時,如果單調一臺調節閥的放大系數(很大或很?。?,就很難將其定位器校準。而由模型(4)可以看出:可以調節的參數還有零位彈簧的彈性系數和反饋杠桿的有效長度;應用中可以將連接在閥桿上的銷釘靠近閥門定位器,這樣就將反饋杠桿的有效長度縮短,使 L 增大,行程增大,反之則行程減小。
四、結束語
調節閥在調節系統中是執行機構,它動作可靠與否決定著系統的成敗。一個調節閥從設計到使用要經歷加工、裝配、檢驗/試驗、銷售、采購、進場檢驗、安裝、調校等環節,那么決定結果的是進入現場的后三個環節。三個環節中,調校又是重中之重,所以把好三關就能保證調節閥的可靠運行。